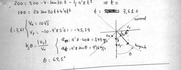
Se dispara un proyectil desde lo alto de una colina de 300 m de altura, haciendo un
ángulo de 30º por debajo de la horizontal.
- Determinar la velocidad de disparo para que el proyectil impacte sobre un blanco situado
a una distancia horizontal de 119 m, medida a partir de la base de la colina.
- Calcular las componentes tangencial y normal de la aceleración cuando el proyectil se
encuentra a 200 m de altura.

